±ØÓ®¹ú¼Ê

»¶Ó­À´µ½±ØÓ®¹ú¼Ê!

ÁªÏµÈÈÏߣº020-38797541 ÓïÑÔÑ¡Ôñ£ºÖÐÎÄ | ENGLISH

±ØÓ®¹ú¼Ê

Bwin±ØÓ®¹ú¼Ê¡¤(Öйú)Ψһ¹Ù·½ÍøÕ¾
News Center

ÐÂÎÅ×ÊѶ

֪ͨͨ¸æ
¹«Ë¾ÐÂÎÅ
ýÌ屨µÀ
ÊÓÆµ×¨Çø
ÐÐÒµ×ÊѶ
ÄúµÄλÖãºÐÂÎÅ×ÊѶ > ÐÐÒµ×ÊѶ

³£Î³¬µ¼ÖÊÁÏ£ºÓÖÒ»´ÎÀÇÀ´ÁË£¿

2023-07-31 11:50:56¡¡À´Ô´: Ææ¼£Ìõ¼Ç ÆëÃùÊÓ²ì ¹ã¶«±ØÓ®¹ú¼ÊÕûºÏ

½üÆÚº«¹úÎïÀíѧ¼ÒÍŶӷ¢ÏÖÁËÊÀ½çÊ׸ö³£Î³¬µ¼ÖÊÁϵÄÏûÏ¢»ð±éÈ«Íø¡£ËûÃdzƽ«Ç¦¡¢Í­¡¢Á×ÈýÖÖÖÊÁÏÆ¾¾ÝÒ»¶¨×éºÏºó·Ö±ð»ìºÏ¼ÓÈÈ£¬×îÖյõ½ÁËÒ»ÖÖǦÁ×»Òʯ¾§Ì壬ËûÃǽ«ÆäÃüÃûΪLK-99¡£ÖÊÁϽÐǦÁ×»Òʯ¡£


Bwin±ØÓ®¹ú¼Ê¡¤(Öйú)Ψһ¹Ù·½ÍøÕ¾


³¬µ¼ÊÇÖÊÁÏÔÚÒ»¶¨Î¶Èϵç×è±äΪ0µÄÎïÀíÏÖÏóͬʱ³¬µ¼Ì廹ÓÐÁíÒ»ÖÖÐÔÖʳÆÎªÍêÈ«¿¹´ÅÐÔ¡£ÖÊÁÏתÄð³É³¬µ¼Ìåºó£¬ÌåÄڵĴų¡»á¡°Åų⡱¼¸ºõËùÓеĴÅͨÁ¿£¬´ÅÁ¦ÏßÎÞ·¨´©Í¸³¬µ¼Ìå¡£


Õâ¸öÏÖÏóÒ²±»³ÆÎªÂõ˹ÄÉЧӦ¡£³¬µ¼ÌåµÄÓ¦ÓÃÓÐÍûΪ¿Æ¼¼´øÀ´¾Þ´óÀå¸ï£¬µ«¿àÓÚ³¬µ¼×ª±äζɹýµÍ£¬Ó¦ÓÃÊÜÏÞ£»ÊÒÎÂÌõ¼þϵij¬µ¼ÌåÊdz¬µ¼Ñо¿ÈËÔ±µÄÖÕ¼«ÃÎÏë¡£Èç¹ûÕæµÄ¼¸ÌìºóÑéÖ¤£¬³£Î³£Ñ¹³¬µ¼£¬Á×½«»áÉÏÉýΪµÚËĴι¤Òµ¸ïÃüµÄºËÐÄÉÏÓÎÖÊÁÏ


ÆäʵÔÚ½ñÄê3Ô¾ÍÔøÓÐÒ»¸öºÍÊÒ㬵¼Ïà¹ØµÄ³ÂËߣ¬µ«×îÖÕ±»ÊÓΪ֤¾Ý²»×ãºÍÔì¼Ù¶øÊܵ½ÖÊÒÉ¡£


Bwin±ØÓ®¹ú¼Ê¡¤(Öйú)Ψһ¹Ù·½ÍøÕ¾


ÄÇΪʲô´Ë´Îº«¹úÍŶӵÄÏûÏ¢ÒÀ¾É»ð±éÈ«Íø¡£Ò»ÊÇÈËÃÇ̫ϣÍûËüÊÇÕæµÄ£»¶þÊÇÔÚÓÚÕâ´Îº«¹úÍŶӲ»½öÐû²¼ÁËËûÃÇʹÓõÄÖÊÁÏ£¬»¹ÔÚÂÛÎÄÖнéÉÜÁËÏêϸµÄÖÊÁÏÖÆ±¸ÒªÁ죬¶øÇÒÖÊÁÏÉí·Ö±ÈÁ¦¼òµ¥ºÍÃ÷È·¡£ÏëÒªÖÆ±¸³öÏàͬµÄÖÊÁÏ£¬ÄÃÀ´¼ìÑ麫¹úÍŶӵÄʵÑé½á¹û£¬ÄѶȲ¢²»´ó¡£ÓÐЩ¹úÍâÖ÷²¥ÉõÖÁÔÚ¼ÒÀï½øÐÐʵÑé¡£


µÚÒ»²½£ºÓÃĦ¶û±È1£º1µÄÑõ»¯Ç¦ºÍÁòËáǦ·ÛÄ©ÔÚ725ÉãÊ϶ȺÍ10^-3TorrÌõ¼þÏ·¢Éú¹ÌÏ໯ѧ·´Ó³£¬ºÏ³É»ÆÇ¦·¯£»

µÚ¶þ²½£ºÔÚ550ÉãÊ϶ȺÍ10^-3TorrÌõ¼þϺϳÉÁ×»¯ÑÇÍ­£¨Ò»¡¢¶þ²½¿É¶ÀÁ¢½øÐУ©£»

µÚÈý²½£ºÒ»¡¢¶þ²½µÄ²úÎïÑÐÄ¥³É·ÛÄ©ºó£¬ÔÚ10^-3TorrÌõ¼þÏ£¬¼ÓÈȵ½925ÉãÊ϶È£¬ºÏ³É²ôCuµÄǦ-Á×»Òʯ£¨¼´LK-99£©¡£


Bwin±ØÓ®¹ú¼Ê¡¤(Öйú)Ψһ¹Ù·½ÍøÕ¾


½á¹¹ÓëÎïÐÔ

ºìÏßÊÇǦ-Á×»Òʯ£¬ºÚÏßÊÇLK-99£¬¿É¼û²ôÈëÉÙÁ¿µÄCuºó£¬¾§¸ñ³£Êý±äСÁË£¬¼´ÖÊÁÏ·¢ÉúÁËÊÕËõ¡£

Bwin±ØÓ®¹ú¼Ê¡¤(Öйú)Ψһ¹Ù·½ÍøÕ¾


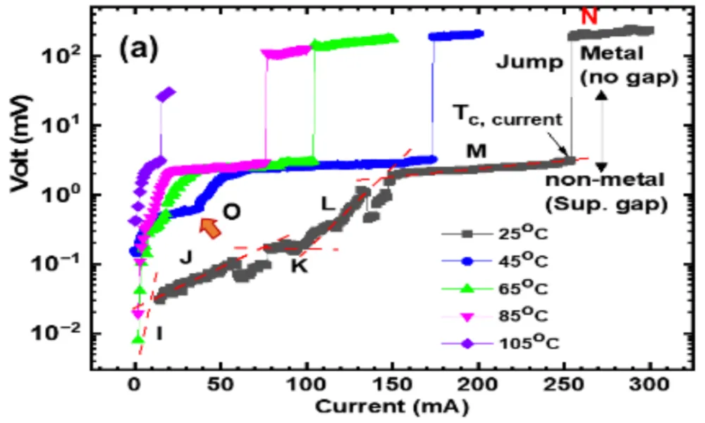
×ÝÖáÊǵçѹ£¬ºáÖáÊǵçÁ÷£¬¿É¼ûÔÚÊÒÎÂÇø¼ä£¬µçѹΪ0ʱ£¬µçÁ÷¿ÉÒÔ²»ÊÇ0¡£

Bwin±ØÓ®¹ú¼Ê¡¤(Öйú)Ψһ¹Ù·½ÍøÕ¾

×ÝÖáÊǵçѹ£¬ºáÖáÊǵçÁ÷£¬¿É¼ûÔÚÊÒÎÂÇø¼ä£¬µçѹΪ0ʱ£¬µçÁ÷¿ÉÒÔ²»ÊÇ0¡£

Bwin±ØÓ®¹ú¼Ê¡¤(Öйú)Ψһ¹Ù·½ÍøÕ¾


µç×èÂÊȷʵÓÐÒ»¸öÌø±ä£¬µ«Ðè×¢ÒâµÄÊǽðÊôµÄµç×èÂÊÊÇ10^-6¦¸¡¤cm£¬»»¾ä»°ËµÉÏͼµÄÕÉÁ¿¾«¶ÈÊÇÔ¶Ô¶²»¹»µÄ¡£Õâ¿´ÉÏÈ¥¸üÏñÊÇ·¢ÉúÁËÒ»¸ö¾øÔµÌå-½ðÊôת±ä¡£

Bwin±ØÓ®¹ú¼Ê¡¤(Öйú)Ψһ¹Ù·½ÍøÕ¾



Bwin±ØÓ®¹ú¼Ê¡¤(Öйú)Ψһ¹Ù·½ÍøÕ¾


ºÚÇò´ú±íPb1£¬Ìṩ֧³Å/¿ò¼Ü×÷Ó㬲¿Ãű»CuÈ¡´úºó£¬»á·¢ÉúÒ»¸öѹËõµÄЧӦ£¬»ÒÇò´ú±íPb2£¬Öù×´ÅÅÁеÄPb2×é³ÉÒ»¸ö1άϵͳ£¬Ìض¨Î¶ÈÏ»¹¿É·¢ÉúµçºÉÃܶȲ¨£¨CDW£©£¬¼´µçºÉµÄÖÜÆÚÐÔµ÷ÖÆ¡£

Bwin±ØÓ®¹ú¼Ê¡¤(Öйú)Ψһ¹Ù·½ÍøÕ¾



Bwin±ØÓ®¹ú¼Ê¡¤(Öйú)Ψһ¹Ù·½ÍøÕ¾



Bwin±ØÓ®¹ú¼Ê¡¤(Öйú)Ψһ¹Ù·½ÍøÕ¾


²»ÍâÏà¹Ø×¨¼ÒÈÔ¶Ô´Ë´ÎʵÑé´æÔÚÖÊÒÉ£¬ÃÀ¹úÈ˹¤ÖÇÄܹ«Ë¾OpenAIµÄÁªºÏÊ×´´È˼æÊ×ϯִÐйÙɽķ¡¤°ÂÌØÂü£¨Sam Altman£©·¢±íÆÀÂ۳ƣ¬¡°Îҷdz£ÏëÏàÐÅ£¬µ«ÎÒÈÏΪÎÒÃǶÔÒ»¸ö¶þ´ÅÌ壨diamagnet£©¹ýÓÚ¼¤¶¯ÁË¡£¡±


³¬µ¼ÁìÓòÑо¿×¨¼Ò¡¢¼ÓÖÝ´óѧʥµØÑǸç·ÖУÀíϵ½ÌÊÚºÀ¶ûºÕ¡¤ºÕÏ££¨Jorge Hirsch£©Ì¸µ½º«¹úǰÊö³¬µ¼ÖÊÁÏÐÂÂÛÎÄʱ˵£º¡°Õâ²»Êdz¬µ¼¡£ÕâÊÇʵÑéÐÔ¼ÙÏó¡¢Ò»ÏáÇéÔ¸µÄÏë·¨ºÍÔã¸âµÄÅжϣ¨ÔÚ×îºÃµÄÇé¿öÏ£©¡£¡±


¾Ý¿Æ¼¼ÐÂÎÅýÌ塶пÆÑ§¼Ò¡·£¨New Scientist£©26Èյı¨µÀ£¬Å£½ò´óѧÖÊÁÏϵ½ÌÊÚËÕɺÄÈ¡¤Ë¹ÅåÀÕ£¨Susannah Speller£©ÌåÏÖ£¬ÏÖÔÚ˵ÕâЩÑùÆ·Äܹ»³¬µ¼£¬»¹ÎªÊ±ÉÐÔç¡£ËýÌåÏÖ£¬µ±Ò»ÖÖÖÊÁϱäµÃ³¬µ¼Ê±£¬ÔÚÐí¶àÕÉÁ¿ÖÐÓ¦¸ÃÕ¹ÏÖ³öÃ÷È·µÄÌØÕ÷¡£µ«ÆäÖеÄÁ½¸ö²ÎÊý¡ª¡ª¶Ô´Å³¡µÄÏìÓ¦Çé¿öºÍÒ»¸ö±»³ÆÎªÈÈÈݵIJÎÊý£¬Ç°ÊöÂÛÎÄûÓÐչʾÏà¹ØÊý¾Ý¡£


ÎÒ¹úÄϾ©´óѧÎïÀíѧԺ½ÌÊÚÎź£»¢ÌåÏÖ¡°ÎÒÃÇ×Ðϸ·ÖÎö¹ýËûÃǵÄÊý¾Ý£¬´ÓÈý¸ö·½Ã桪µç×è¡¢´Å»¯ºÍËùνµÄ´ÅÐü¸¡£¬¶¼²»×ãÒÔ˵Ã÷ËüÊdz¬µ¼ÏÖÏó¡£ÎÒÃÇÅжϼ«ÓпÉÄÜÊǸö¼ÙÏ󡣡±


ËäÈ»ÓйØÑо¿³ö³£Î³¬µ¼ÌåÖÊÁϵÄÐÂÎÅÒ»Ö±¶¼ÊÇÀÇÀ´ÁË£¬µ«ÈËÃÇÒ²¶¼Ï£ÍûÕâÊÇÕæµÄ¡£¾¿¾¹Ñо¿³£Î³¬µ¼ÖÊÁÏÊǷdz£ÖØÒªµÄÒ»¼þÊÂÇ飬Èç¹ûÄܹýʵÏÖ£¬È·ÊµÄܹ»´øÀ´ºÜ¶à·½ÃæµÄ¸Ä±ä¡£Ò»µ©±»Ö¤Êµ£¬Õ⽫ÊÇÒ»³¡ÕæÕýµÄ¸ïÃü£¬Ò»³¡Éî¿ÌµÄ¹¤Òµ½çµÄ¸ïÃü¡£

³£Î³¬µ¼ÖÊÁÏ£ºÓÖÒ»´ÎÀÇÀ´ÁË£¿

2023-07-31 11:50:56¡¡À´Ô´: Ææ¼£Ìõ¼Ç ÆëÃùÊÓ²ì ¹ã¶«±ØÓ®¹ú¼ÊÕûºÏ

½üÆÚº«¹úÎïÀíѧ¼ÒÍŶӷ¢ÏÖÁËÊÀ½çÊ׸ö³£Î³¬µ¼ÖÊÁϵÄÏûÏ¢»ð±éÈ«Íø¡£ËûÃdzƽ«Ç¦¡¢Í­¡¢Á×ÈýÖÖÖÊÁÏÆ¾¾ÝÒ»¶¨×éºÏºó·Ö±ð»ìºÏ¼ÓÈÈ£¬×îÖյõ½ÁËÒ»ÖÖǦÁ×»Òʯ¾§Ì壬ËûÃǽ«ÆäÃüÃûΪLK-99¡£ÖÊÁϽÐǦÁ×»Òʯ¡£


Bwin±ØÓ®¹ú¼Ê¡¤(Öйú)Ψһ¹Ù·½ÍøÕ¾


³¬µ¼ÊÇÖÊÁÏÔÚÒ»¶¨Î¶Èϵç×è±äΪ0µÄÎïÀíÏÖÏóͬʱ³¬µ¼Ì廹ÓÐÁíÒ»ÖÖÐÔÖʳÆÎªÍêÈ«¿¹´ÅÐÔ¡£ÖÊÁÏתÄð³É³¬µ¼Ìåºó£¬ÌåÄڵĴų¡»á¡°Åų⡱¼¸ºõËùÓеĴÅͨÁ¿£¬´ÅÁ¦ÏßÎÞ·¨´©Í¸³¬µ¼Ìå¡£


Õâ¸öÏÖÏóÒ²±»³ÆÎªÂõ˹ÄÉЧӦ¡£³¬µ¼ÌåµÄÓ¦ÓÃÓÐÍûΪ¿Æ¼¼´øÀ´¾Þ´óÀå¸ï£¬µ«¿àÓÚ³¬µ¼×ª±äζɹýµÍ£¬Ó¦ÓÃÊÜÏÞ£»ÊÒÎÂÌõ¼þϵij¬µ¼ÌåÊdz¬µ¼Ñо¿ÈËÔ±µÄÖÕ¼«ÃÎÏë¡£Èç¹ûÕæµÄ¼¸ÌìºóÑéÖ¤£¬³£Î³£Ñ¹³¬µ¼£¬Á×½«»áÉÏÉýΪµÚËĴι¤Òµ¸ïÃüµÄºËÐÄÉÏÓÎÖÊÁÏ


ÆäʵÔÚ½ñÄê3Ô¾ÍÔøÓÐÒ»¸öºÍÊÒ㬵¼Ïà¹ØµÄ³ÂËߣ¬µ«×îÖÕ±»ÊÓΪ֤¾Ý²»×ãºÍÔì¼Ù¶øÊܵ½ÖÊÒÉ¡£


Bwin±ØÓ®¹ú¼Ê¡¤(Öйú)Ψһ¹Ù·½ÍøÕ¾


ÄÇΪʲô´Ë´Îº«¹úÍŶӵÄÏûÏ¢ÒÀ¾É»ð±éÈ«Íø¡£Ò»ÊÇÈËÃÇ̫ϣÍûËüÊÇÕæµÄ£»¶þÊÇÔÚÓÚÕâ´Îº«¹úÍŶӲ»½öÐû²¼ÁËËûÃÇʹÓõÄÖÊÁÏ£¬»¹ÔÚÂÛÎÄÖнéÉÜÁËÏêϸµÄÖÊÁÏÖÆ±¸ÒªÁ죬¶øÇÒÖÊÁÏÉí·Ö±ÈÁ¦¼òµ¥ºÍÃ÷È·¡£ÏëÒªÖÆ±¸³öÏàͬµÄÖÊÁÏ£¬ÄÃÀ´¼ìÑ麫¹úÍŶӵÄʵÑé½á¹û£¬ÄѶȲ¢²»´ó¡£ÓÐЩ¹úÍâÖ÷²¥ÉõÖÁÔÚ¼ÒÀï½øÐÐʵÑé¡£


µÚÒ»²½£ºÓÃĦ¶û±È1£º1µÄÑõ»¯Ç¦ºÍÁòËáǦ·ÛÄ©ÔÚ725ÉãÊ϶ȺÍ10^-3TorrÌõ¼þÏ·¢Éú¹ÌÏ໯ѧ·´Ó³£¬ºÏ³É»ÆÇ¦·¯£»

µÚ¶þ²½£ºÔÚ550ÉãÊ϶ȺÍ10^-3TorrÌõ¼þϺϳÉÁ×»¯ÑÇÍ­£¨Ò»¡¢¶þ²½¿É¶ÀÁ¢½øÐУ©£»

µÚÈý²½£ºÒ»¡¢¶þ²½µÄ²úÎïÑÐÄ¥³É·ÛÄ©ºó£¬ÔÚ10^-3TorrÌõ¼þÏ£¬¼ÓÈȵ½925ÉãÊ϶È£¬ºÏ³É²ôCuµÄǦ-Á×»Òʯ£¨¼´LK-99£©¡£


Bwin±ØÓ®¹ú¼Ê¡¤(Öйú)Ψһ¹Ù·½ÍøÕ¾


½á¹¹ÓëÎïÐÔ

ºìÏßÊÇǦ-Á×»Òʯ£¬ºÚÏßÊÇLK-99£¬¿É¼û²ôÈëÉÙÁ¿µÄCuºó£¬¾§¸ñ³£Êý±äСÁË£¬¼´ÖÊÁÏ·¢ÉúÁËÊÕËõ¡£

Bwin±ØÓ®¹ú¼Ê¡¤(Öйú)Ψһ¹Ù·½ÍøÕ¾


×ÝÖáÊǵçѹ£¬ºáÖáÊǵçÁ÷£¬¿É¼ûÔÚÊÒÎÂÇø¼ä£¬µçѹΪ0ʱ£¬µçÁ÷¿ÉÒÔ²»ÊÇ0¡£

Bwin±ØÓ®¹ú¼Ê¡¤(Öйú)Ψһ¹Ù·½ÍøÕ¾

×ÝÖáÊǵçѹ£¬ºáÖáÊǵçÁ÷£¬¿É¼ûÔÚÊÒÎÂÇø¼ä£¬µçѹΪ0ʱ£¬µçÁ÷¿ÉÒÔ²»ÊÇ0¡£

Bwin±ØÓ®¹ú¼Ê¡¤(Öйú)Ψһ¹Ù·½ÍøÕ¾


µç×èÂÊȷʵÓÐÒ»¸öÌø±ä£¬µ«Ðè×¢ÒâµÄÊǽðÊôµÄµç×èÂÊÊÇ10^-6¦¸¡¤cm£¬»»¾ä»°ËµÉÏͼµÄÕÉÁ¿¾«¶ÈÊÇÔ¶Ô¶²»¹»µÄ¡£Õâ¿´ÉÏÈ¥¸üÏñÊÇ·¢ÉúÁËÒ»¸ö¾øÔµÌå-½ðÊôת±ä¡£

Bwin±ØÓ®¹ú¼Ê¡¤(Öйú)Ψһ¹Ù·½ÍøÕ¾



Bwin±ØÓ®¹ú¼Ê¡¤(Öйú)Ψһ¹Ù·½ÍøÕ¾


ºÚÇò´ú±íPb1£¬Ìṩ֧³Å/¿ò¼Ü×÷Ó㬲¿Ãű»CuÈ¡´úºó£¬»á·¢ÉúÒ»¸öѹËõµÄЧӦ£¬»ÒÇò´ú±íPb2£¬Öù×´ÅÅÁеÄPb2×é³ÉÒ»¸ö1άϵͳ£¬Ìض¨Î¶ÈÏ»¹¿É·¢ÉúµçºÉÃܶȲ¨£¨CDW£©£¬¼´µçºÉµÄÖÜÆÚÐÔµ÷ÖÆ¡£

Bwin±ØÓ®¹ú¼Ê¡¤(Öйú)Ψһ¹Ù·½ÍøÕ¾



Bwin±ØÓ®¹ú¼Ê¡¤(Öйú)Ψһ¹Ù·½ÍøÕ¾



Bwin±ØÓ®¹ú¼Ê¡¤(Öйú)Ψһ¹Ù·½ÍøÕ¾


²»ÍâÏà¹Ø×¨¼ÒÈÔ¶Ô´Ë´ÎʵÑé´æÔÚÖÊÒÉ£¬ÃÀ¹úÈ˹¤ÖÇÄܹ«Ë¾OpenAIµÄÁªºÏÊ×´´È˼æÊ×ϯִÐйÙɽķ¡¤°ÂÌØÂü£¨Sam Altman£©·¢±íÆÀÂ۳ƣ¬¡°Îҷdz£ÏëÏàÐÅ£¬µ«ÎÒÈÏΪÎÒÃǶÔÒ»¸ö¶þ´ÅÌ壨diamagnet£©¹ýÓÚ¼¤¶¯ÁË¡£¡±


³¬µ¼ÁìÓòÑо¿×¨¼Ò¡¢¼ÓÖÝ´óѧʥµØÑǸç·ÖУÀíϵ½ÌÊÚºÀ¶ûºÕ¡¤ºÕÏ££¨Jorge Hirsch£©Ì¸µ½º«¹úǰÊö³¬µ¼ÖÊÁÏÐÂÂÛÎÄʱ˵£º¡°Õâ²»Êdz¬µ¼¡£ÕâÊÇʵÑéÐÔ¼ÙÏó¡¢Ò»ÏáÇéÔ¸µÄÏë·¨ºÍÔã¸âµÄÅжϣ¨ÔÚ×îºÃµÄÇé¿öÏ£©¡£¡±


¾Ý¿Æ¼¼ÐÂÎÅýÌ塶пÆÑ§¼Ò¡·£¨New Scientist£©26Èյı¨µÀ£¬Å£½ò´óѧÖÊÁÏϵ½ÌÊÚËÕɺÄÈ¡¤Ë¹ÅåÀÕ£¨Susannah Speller£©ÌåÏÖ£¬ÏÖÔÚ˵ÕâЩÑùÆ·Äܹ»³¬µ¼£¬»¹ÎªÊ±ÉÐÔç¡£ËýÌåÏÖ£¬µ±Ò»ÖÖÖÊÁϱäµÃ³¬µ¼Ê±£¬ÔÚÐí¶àÕÉÁ¿ÖÐÓ¦¸ÃÕ¹ÏÖ³öÃ÷È·µÄÌØÕ÷¡£µ«ÆäÖеÄÁ½¸ö²ÎÊý¡ª¡ª¶Ô´Å³¡µÄÏìÓ¦Çé¿öºÍÒ»¸ö±»³ÆÎªÈÈÈݵIJÎÊý£¬Ç°ÊöÂÛÎÄûÓÐչʾÏà¹ØÊý¾Ý¡£


ÎÒ¹úÄϾ©´óѧÎïÀíѧԺ½ÌÊÚÎź£»¢ÌåÏÖ¡°ÎÒÃÇ×Ðϸ·ÖÎö¹ýËûÃǵÄÊý¾Ý£¬´ÓÈý¸ö·½Ã桪µç×è¡¢´Å»¯ºÍËùνµÄ´ÅÐü¸¡£¬¶¼²»×ãÒÔ˵Ã÷ËüÊdz¬µ¼ÏÖÏó¡£ÎÒÃÇÅжϼ«ÓпÉÄÜÊǸö¼ÙÏ󡣡±


ËäÈ»ÓйØÑо¿³ö³£Î³¬µ¼ÌåÖÊÁϵÄÐÂÎÅÒ»Ö±¶¼ÊÇÀÇÀ´ÁË£¬µ«ÈËÃÇÒ²¶¼Ï£ÍûÕâÊÇÕæµÄ¡£¾¿¾¹Ñо¿³£Î³¬µ¼ÖÊÁÏÊǷdz£ÖØÒªµÄÒ»¼þÊÂÇ飬Èç¹ûÄܹýʵÏÖ£¬È·ÊµÄܹ»´øÀ´ºÜ¶à·½ÃæµÄ¸Ä±ä¡£Ò»µ©±»Ö¤Êµ£¬Õ⽫ÊÇÒ»³¡ÕæÕýµÄ¸ïÃü£¬Ò»³¡Éî¿ÌµÄ¹¤Òµ½çµÄ¸ïÃü¡£

¹ØÓÚ±ØÓ®¹ú¼Ê
¹ØÓÚ±ØÓ®¹ú¼Ê ÆóÒµÎÄ»¯ ×ÊÖÊÐÅÏ¢ ÈÙÓþÐÅÏ¢
¾«Æ·°¸Àý
µçÁ¦Ïß·Ӧ¼±ÇÀÐÞϵͳ£¨ERS£© Ê©¹¤½¨Éè
ºËÐļ¼Êõ
µçÁ¦Ïß·Ӧ¼±ÇÀÐÞϵͳ£¨ERS£© TSÐÂ̼ÏËάµ¼Ïß ¹â·ü·¢µç
ÐÂÎÅ×ÊѶ
֪ͨͨ¸æ ¹«Ë¾ÐÂΊýÌ屨µÀ ÐÐÒµ×ÊѶ
ÁªÏµ±ØÓ®¹ú¼Ê

ÁªÏµµç»°£º020-38797541

ÔÚÏßQQ£º 2430586914

ÔÚÏßÓÊÏ䣺hfpowerzmx@126.com

ÓÊÕþ±àºÅ£º511400

ÁªÏµµØÖ·£º¹ãÖÝÊÐÌìºÓÇøÌìºÓÖ±½Ö148ºÅÌåÓýÎ÷Ô·302·¿

ÍøÕ¾µØÍ¼